Geometría

Cómo calcular la pendiente de una recta

Cómo calcular la pendiente de una recta

Un concepto clave en las matemáticas y la economía es algo que se llama pendiente. Podemos encontrarla en la representación de las ecuaciones y determina la inclinación de la recta respecto a los ejes de coordenadas. En este artículo vas a entender su importancia, uso, y cómo calcular la pendiente de una recta.

Índice
  1. ¿Qué es una pendiente?
  2. ¿Cómo usamos la pendiente?
  3. Parte 1
  4. Parte 2
  5. Parte 3
  6. Parte 4
  7. Fórmula de la pendiente

¿Qué es una pendiente?

En pocas palabras, la pendiente es un cálculo numérico que indica si una línea se mueve hacia arriba o hacia abajo. Y cuán empinada es la recta.

Ahora en la economía, la comprensión de la pendiente y cómo se ve la recta es muy importante. Eso es así porque para ayudar a que el material y los conceptos se entiendan más fácil, utilizamos imágenes y gráficos.

Así que, básicamente la pendiente te dice si una línea se mueve hacia arriba o hacia abajo y el grado de inclinación que tiene esa pendiente. Así que piensa en esto como una colina. La pendiente te dirá si vas subiendo una colina o bajando por ella. Y cómo es esa colina de empinada.

¿Cómo usamos la pendiente?

El siguiente paso es entender cómo la pendiente se utiliza y por qué es importante calcularla. Como acabo de mencionar, te dice si una línea se mueve hacia arriba o hacia abajo y el grado de inclinación que tiene.

Al observar el valor de la pendiente, inmediatamente puedes decir si esa línea va hacia arriba o hacia abajo. ¿Cómo?.

  • Si la pendiente es un número positivo, entonces la línea se mueve hacia arriba.
  • Si la pendiente es un número negativo, entonces la línea se mueve hacia abajo.

Y cuanto mayor es ese número, más inclinada es la recta.

Así que una pendiente de 4 significa que la recta va hacia arriba. Pero una pendiente de -4 significa que la recta se mueve hacia abajo. Y una recta con una pendiente de 3 es más empinada que la recta con una pendiente de 2.

Parte 1

Las líneas están compuestas de puntos individuales. Y cada punto tiene un valor del eje X y un valor del eje Y. El eje X es horizontal (de izquierda y derecha) y el eje Y es vertical (de abajo hacia arriba).

Por ejemplo, (3,5). Esto significa que tenemos un valor del eje X de 3 y un valor del eje Y de 5. Y que nos dice que este punto se encuentra 3 a la derecha y 5 arriba.

El punto (1,6) se encuentra a 1 a la derecha y 6 para arriba. Así que piensa en los puntos como direcciones de calles. Las líneas serían toda una calle con un montón de casas (puntos).

Parte 2

Bueno, por fin hemos llegado al punto en que realmente puedes empezar a trabajar con los números para obtener el valor de la pendiente.

Tomamos dos puntos, los miras, y ves cuánto espacio hay entre los dos ejes Y.

Por ejemplo, supongamos que tenemos los puntos (1,2) y (3,5). Nuestros dos valores del eje Y son 2 y 5. Recuerda, los valores del eje Y son los números de la derecha, los valores del eje X son los números de la izquierda.

¿A qué distancia están los 2 puntos de Y?. Simple, restar 5-2=3 Llamamos al resultado, Elevación.

Parte 3

Nuestro siguiente paso es conseguir la distancia entre nuestros valores del eje X. Esta diferencia se llama Avance.

Siguiendo con nuestro ejemplo anterior, miramos nuestros dos puntos (1,2) y (3,5) para ver cuáles son los valores del eje X. Aquí tenemos 1 y 3.

Y al igual que hicimos cuando se calculó la Elevación, restamos. 3-1=2 esto nos da nuestro Avance.

Entonces:

  • Elevación es la diferencia entre los dos ejes Y
  • Avance es la diferencia entre los dos ejes X
Cómo calcular la pendiente de una recta - Parte 3

Parte 4

Este es nuestro último paso para calcular la pendiente de una recta.

Todo lo que hacemos es dividir la Elevación por el Avance. Usando el ejemplo, divide 3 por 2, que nos da una pendiente de 1,5.

¿Y que te dice esto?

  • Sabemos que nuestra recta se mueve hacia arriba porque la pendiente es positiva.
  • Sabemos que es una pendiente más pronunciada que una recta con la pendiente de 1. Sin embargo, no es tan empinada como una pendiente de 2.

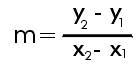
Fórmula de la pendiente

Esta es la fórmula matemática para calcular la pendiente, dados dos puntos.

Cómo calcular la pendiente de una recta - Fórmula de la pendiente

Si deseas leer más artículos parecidos a Cómo calcular la pendiente de una recta, te recomendamos que entres en nuestra categoría de Formación.

Artículos relacionados
Escribir comentario
¿Qué te ha parecido el artículo?
11 comentarios
Su valoración:
moises brito
si tengo una recta, cuyos valores son; cuando x=0, y=0, x=1, y=-1, x=2, y=-4
en este caso ya no trabajaría con lo puntos cero
Su valoración:
jazmin
1) dados los siguientes puntos A = (-3 ; 3) ; B = (3 ; -1 ) y C = (-2 ; -2/3)
a) hallar la recta r que pasa por A y B.
b) hallar la recta r1 // r que pasa por C.
c) hallar la recta r2 perpendicular a r que pasa por el origen de coordenadas
d) verificar todos los incisos gráficamente
Sergio
Como determino cual es x1 ,x2 o y1 o y2
Su valoración:
el mariscus
Me encanto mucho y me explico mu bien mis dudas
ten 5 estrellas
wilson
como se calcula la pendiente de una recta

Su valoración:
ana
Esta perfectamente explicado. Muchas gracias
Su valoración:
Melissa
Espero que me ayude mucho con mi tarea
Su valoración:
Nataly
Gacias, está súper bien explicado :)
Su valoración:
Oswaldo Rivera Gómez
Me agrado la respuesta clara que dieron a mi duda y de inmediato aplique la información obtenida. Gracias
Su valoración:
ven
que buen aporte muchas gracias por tomarte el tiempo en explica gracias
Otilda
Esto es lo mejor que he podido encontrar, estoy contentísima de haber encontrado esta páginas. Tiene de todo, super. Gracias, gracias.
1 de 3
Cómo calcular la pendiente de una recta